Machine Learning Part 1
skimr, ggpubr, visdat)parsnip by choosing a type, engine, and modeworkflow and evaluate it with yardstick metricsworkflow_sets over cross-validation foldsToday’s running example: “Can we predict whether a 6,000-acre hexagon in Washington is forested?”

Illustration credit: https://vas3k.com/blog/machine_learning/
Note
In the early 2010s, “Artificial intelligence” (AI) was largely synonymous with what we’ll refer to as “machine learning” in this workshop. In the late 2010s and early 2020s, AI usually referred to deep learning methods. Since the release of ChatGPT in late 2022, “AI” has come to also encompass large language models (LLMs) / generative models.

Illustration credit: https://vas3k.com/blog/machine_learning/
Illustration credit: https://vas3k.com/blog/machine_learning/
tidymodels?tidyverse principles (consistent syntax, modular design)📦 recipes: Feature engineering and preprocessing
📦 parsnip: Unified interface for model specification
📦 workflows: Streamlined modeling pipelines
📦 tune: Hyperparameter tuning
📦 rsample: Resampling and validation
📦 yardstick: Model evaluation metrics
tidymodels1️⃣ Load Package & Data
2️⃣ Preprocess Data (recipes)
3️⃣ Define Model (parsnip)
4️⃣ Create a Workflow (workflows)
5️⃣ Train & Tune (tune)
6️⃣ Evaluate Performance (yardstick)
lm() in RYou’ve used lm() before — this slide frames it as the foundation for everything broom and tidymodels build on top of.
lm() fits a linear model by ordinary least squares.
Key arguments:
formula — response ~ predictors (. = all columns)data — the training data frameCommon follow-up functions:
| Function | What it returns |
|---|---|
summary(model) |
Coefficients, R², F-statistic |
coef(model) |
Named coefficient vector |
fitted(model) |
In-sample predictions |
residuals(model) |
Raw residuals |
mod <- lm(body_mass_g ~ bill_length_mm + species,
data = drop_na(penguins))
summary(mod)
#>
#> Call:
#> lm(formula = body_mass_g ~ bill_length_mm + species, data = drop_na(penguins))
#>
#> Residuals:
#> Min 1Q Median 3Q Max
#> -860.77 -244.79 4.36 215.73 1075.25
#>
#> Coefficients:
#> Estimate Std. Error t value Pr(>|t|)
#> (Intercept) 200.453 271.646 0.738 0.461
#> bill_length_mm 90.298 6.951 12.991 < 2e-16 ***
#> speciesChinstrap -876.942 88.744 -9.882 < 2e-16 ***
#> speciesGentoo 596.702 76.429 7.807 7.88e-14 ***
#> ---
#> Signif. codes: 0 '***' 0.001 '**' 0.01 '*' 0.05 '.' 0.1 ' ' 1
#>
#> Residual standard error: 375.2 on 329 degrees of freedom
#> Multiple R-squared: 0.7848, Adjusted R-squared: 0.7829
#> F-statistic: 400 on 3 and 329 DF, p-value: < 2.2e-16Reading the output:
Estimate — change in y per 1-unit increase in xPr(>|t|) — p-value: is the coefficient ≠ 0?Adjusted R² — proportion of variance explainedF-statistic — overall model significance→ broom wraps this into tidy tibbles (next slide)
broom — tidying model outputs broom converts messy model objects into tidy tibbles. Three core functions:
| Function | Returns | Use it when you want to … |
|---|---|---|
tidy() |
One row per model term | Inspect coefficients, p-values, confidence intervals |
glance() |
One row per model | Compare overall fit (R², AIC, log-likelihood, …) |
augment() |
One row per observation | Add predictions, residuals, influence stats to data |
simple_mod <- lm(body_mass_g ~ bill_length_mm + species, data = drop_na(penguins))
tidy(simple_mod) # coefficients table
#> # A tibble: 4 × 5
#> term estimate std.error statistic p.value
#> <chr> <dbl> <dbl> <dbl> <dbl>
#> 1 (Intercept) 200. 272. 0.738 4.61e- 1
#> 2 bill_length_mm 90.3 6.95 13.0 1.97e-31
#> 3 speciesChinstrap -877. 88.7 -9.88 2.46e-20
#> 4 speciesGentoo 597. 76.4 7.81 7.88e-14broom in practiceglance(simple_mod) # model-level fit statistics
#> # A tibble: 1 × 12
#> r.squared adj.r.squared sigma statistic p.value df logLik AIC BIC
#> <dbl> <dbl> <dbl> <dbl> <dbl> <dbl> <dbl> <dbl> <dbl>
#> 1 0.785 0.783 375. 400. 2.22e-109 3 -2444. 4899. 4918.
#> # ℹ 3 more variables: deviance <dbl>, df.residual <int>, nobs <int>
augment(simple_mod) |>
select(body_mass_g, .fitted, .resid) |>
head(5)
#> # A tibble: 5 × 3
#> body_mass_g .fitted .resid
#> <int> <dbl> <dbl>
#> 1 3750 3731. 18.9
#> 2 3800 3767. 32.8
#> 3 3250 3839. -589.
#> 4 3450 3514. -64.4
#> 5 3650 3749. -99.1Note
augment() on a workflow (next slide) works the same way — it just accepts new_data = so you can apply the fitted model to held-out data. The column names (.fitted, .pred_class, .pred_*, .resid) are always predictable.
How do you use your new model?
augment() will return the dataset with predictions and residuals added.#> # A tibble: 333 × 9
#> body_mass_g bill_length_mm species .fitted .resid .hat .sigma .cooksd
#> <int> <dbl> <fct> <dbl> <dbl> <dbl> <dbl> <dbl>
#> 1 3750 39.1 Adelie 3731. 18.9 0.00688 376. 0.00000443
#> 2 3800 39.5 Adelie 3767. 32.8 0.00701 376. 0.0000136
#> 3 3250 40.3 Adelie 3839. -589. 0.00760 374. 0.00476
#> 4 3450 36.7 Adelie 3514. -64.4 0.00840 376. 0.0000629
#> 5 3650 39.3 Adelie 3749. -99.1 0.00693 376. 0.000123
#> 6 3625 38.9 Adelie 3713. -88.0 0.00685 376. 0.0000956
#> 7 4675 39.2 Adelie 3740. 935. 0.00690 372. 0.0109
#> 8 3200 41.1 Adelie 3912. -712. 0.00863 374. 0.00790
#> 9 3800 38.6 Adelie 3686. 114. 0.00687 376. 0.000161
#> 10 4400 34.6 Adelie 3325. 1075. 0.0130 371. 0.0273
#> # ℹ 323 more rows
#> # ℹ 1 more variable: .std.resid <dbl>
readr, dplyr::*_join) (single or multi table)For machine learning, we typically split data into training and test sets:
The training set is used to estimate model parameters.
Spending too much data in training prevents us from computing a good assessment of model performance.
The test set is used as an independent assessment of performance.
Spending too much data in testing prevents us from computing good model parameter estimates.
✅ Detects data quality issues – Missing values, outliers, inconsistencies.
✅ Identifies patterns & trends – Helps understand distributions and relationships.
✅ Reduces bias & assumptions – Ensures models are based on well-understood data.
✅ Supports feature engineering – Helps select or create the best features for modeling.
✅ Guides modeling choices – Informs whether linear, nonlinear, or other methods are suitable.
head(), tail(), skimr::skim() for anomalies1️⃣ Understand Data Structure – Check types, dimensions, missing values. glimpse(), str(), summary(), vis_dat()
2️⃣ Summary Statistics – Mean, median, variance, skewness, kurtosis. skimr::skim(), summary(), table()
3️⃣ Visualizations – Histograms, box plots, scatter plots, correlation matrices. ggplot2, ggpubr, visdat
4️⃣ Identify Data Issues – Outliers, missing data, inconsistencies. vis_dat(), IQR / Z-score methods
5️⃣ Transformations & Feature Engineering – Scaling, encoding, derived features. recipes, tidymodels
⚠ Ignoring domain context – Statistical insights must align with real-world meaning.
⚠ Over-reliance on visualizations – Needs statistical validation.
⚠ Dismissing small patterns – Some signals may be weak but significant.
⚠ Not documenting findings – EDA should inform later modeling stages.
glimpse(penguins)
#> Rows: 344
#> Columns: 8
#> $ species <fct> Adelie, Adelie, Adelie, Adelie, Adelie, Adelie, Adel…
#> $ island <fct> Torgersen, Torgersen, Torgersen, Torgersen, Torgerse…
#> $ bill_length_mm <dbl> 39.1, 39.5, 40.3, NA, 36.7, 39.3, 38.9, 39.2, 34.1, …
#> $ bill_depth_mm <dbl> 18.7, 17.4, 18.0, NA, 19.3, 20.6, 17.8, 19.6, 18.1, …
#> $ flipper_length_mm <int> 181, 186, 195, NA, 193, 190, 181, 195, 193, 190, 186…
#> $ body_mass_g <int> 3750, 3800, 3250, NA, 3450, 3650, 3625, 4675, 3475, …
#> $ sex <fct> male, female, female, NA, female, male, female, male…
#> $ year <int> 2007, 2007, 2007, 2007, 2007, 2007, 2007, 2007, 2007…
nrow(penguins)
#> [1] 344skimr| Name | penguins |
| Number of rows | 344 |
| Number of columns | 8 |
| _______________________ | |
| Column type frequency: | |
| numeric | 1 |
| ________________________ | |
| Group variables | None |
Variable type: numeric
| skim_variable | n_missing | complete_rate | mean | sd | p0 | p25 | p50 | p75 | p100 | hist |
|---|---|---|---|---|---|---|---|---|---|---|
| body_mass_g | 2 | 0.99 | 4201.75 | 801.95 | 2700 | 3550 | 4050 | 4750 | 6300 | ▃▇▆▃▂ |
Central Tendency:
Variability:
ggpubrggpubr wraps ggplot2 to produce publication-ready statistical plots with minimal code.
✅ Simplified syntax — no deep ggplot2 knowledge required
✅ Statistical plot types — box plots, violin, scatter, density, bar, dot
✅ Built-in tests — stat_compare_means() adds p-values directly to plots
✅ Grouped data — easy faceting, p-value annotation, confidence intervals
✅ Multi-plot layout — ggarrange() combines plots in a grid
Univariate analysis focuses on a single variable at a time.
📌 Most bill lengths are between 35–55 mm. Some outliers exist.
📌 Different species have distinct distributions. Outliers may need further investigation.
| Variable Types | Plot Type |
|---|---|
| Categorical + Categorical | Bar plot (stacked or side-by-side) |
| Categorical + Continuous | Box plot; bar plot with summary stats |
| Continuous + Continuous | Scatter plot with regression line |
Duplicates:
Missing Data:
Outlier Detection: IQR, Z-scores, or clustering-based methods.
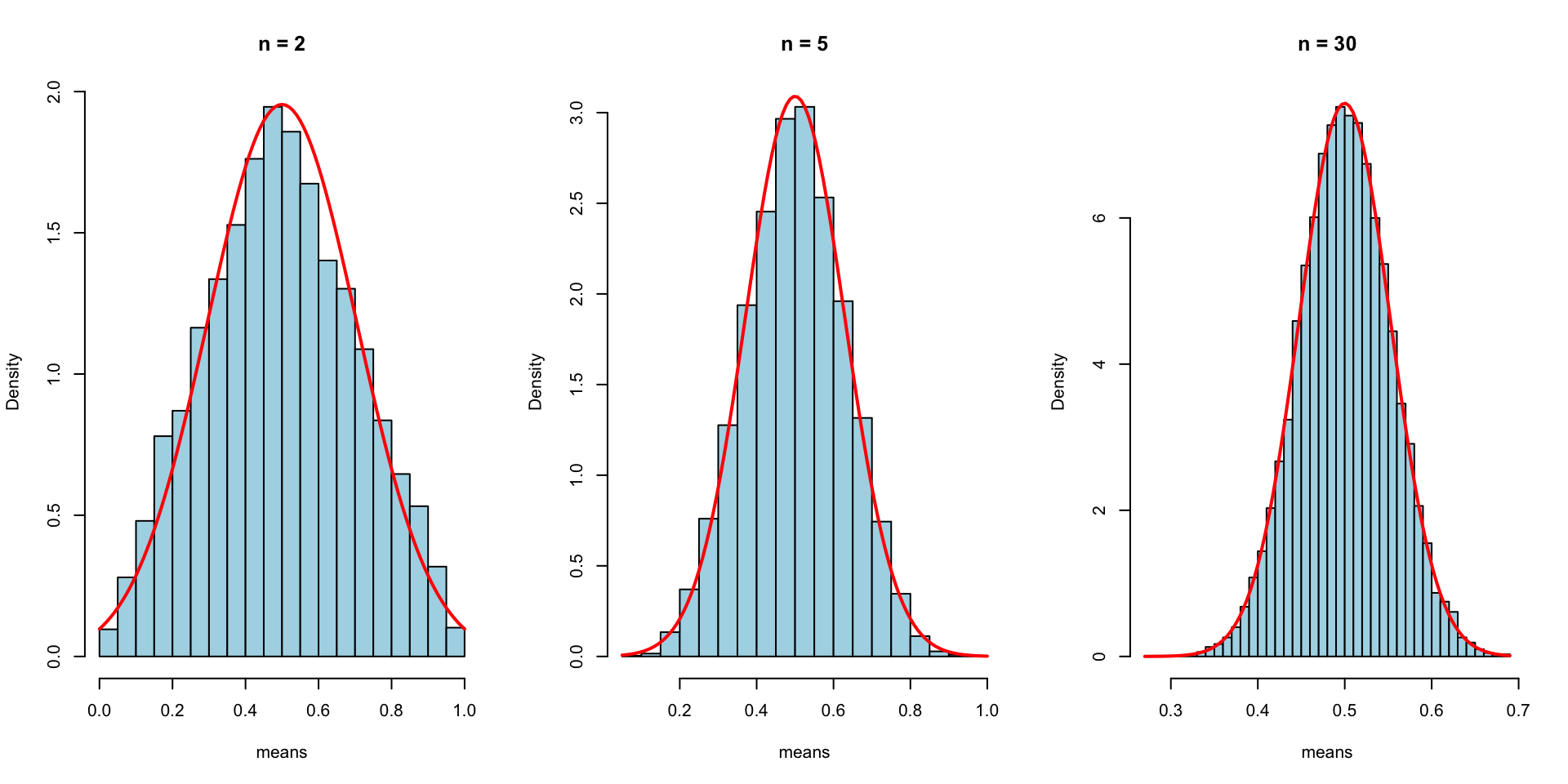
Many statistical tests and models rely on the assumption that data is normally distributed.
At n = 2, this may look normal, but the true distribution is triangular—CLT describes convergence, not instant normality
As n increases, the distribution of sample means becomes normal even though the original data was uniform.
Many statistical techniques assume normality:
lm) — residuals should be normally distributedWhen data deviates from normality, these methods may produce inaccurate results.
| Test | Strengths | Weaknesses |
|---|---|---|
| Shapiro-Wilk | Sensitive; good for small samples | Too sensitive for large n |
| Kolmogorov-Smirnov | Works for any sample size | Less powerful for small n |
| Anderson-Darling | Emphasizes tails | Sensitive to sample size |
| Jarque-Bera | Tests skewness + kurtosis | Less reliable for small n |
H₀ in all tests: data is normally distributed. Low p-value → reject H₀.
nest/map Pattern for Per-Group Testingpenguins |>
drop_na() |>
nest(data = -species) |>
mutate(test = map(data, ~shapiro.test(.x$body_mass_g)),
glance_shapiro = map(test, broom::glance)) |>
unnest(glance_shapiro)
#> # A tibble: 3 × 6
#> species data test statistic p.value method
#> <fct> <list> <list> <dbl> <dbl> <chr>
#> 1 Adelie <tibble [146 × 7]> <htest> 0.981 0.0423 Shapiro-Wilk normality…
#> 2 Gentoo <tibble [119 × 7]> <htest> 0.986 0.261 Shapiro-Wilk normality…
#> 3 Chinstrap <tibble [68 × 7]> <htest> 0.984 0.561 Shapiro-Wilk normality…Option 1 — Transformations:
| Transformation | When to Use |
|---|---|
| Log | Right-skewed, positive values |
| Square Root | Moderate right-skew, count data |
| Box-Cox | Unknown transformation needed |
| Yeo-Johnson | Like Box-Cox but works on negative values |
Use when data is not normally distributed:
# Spearman correlation (instead of Pearson)
cor.test(airquality$Ozone, airquality$Temp, method = "spearman")
#>
#> Spearman's rank correlation rho
#>
#> data: airquality$Ozone and airquality$Temp
#> S = 58778, p-value < 2.2e-16
#> alternative hypothesis: true rho is not equal to 0
#> sample estimates:
#> rho
#> 0.774043Provides robust estimates without assuming normality:
Skewness measures the asymmetry of a distribution:
D’Agostino test for skewness:

Now that the data is cleaned, understood, and modified, we can move on to modeling.
In any modeling effort, it’s crucial to evaluate the performance of a model using different validation techniques to ensure a model can generalize to unseen data.
But data is limited even in the age of “big data”.
Splitting can be handled in many of ways. Typically, we base it off of a “hold out” percentage (e.g. 20%)
These hold out cases are extracted randomly from the data set. (remember seeds?)
The test set is held in reserve until one or two models are chosen.
The test set is then used as the final arbiter to determine the efficacy of the model.
In many cases, there is a structure to the data that would inhibit impartial splitting (e.g. a class, a region, a species, a sex, etc)
Imagine you have a jar of M&Ms in different colors — red, blue, and green. You want to take some candies out to taste, but you want to make sure you get a fair mix of each color, not just grabbing a bunch of red ones by accident.
Stratified resampling is like making sure that if your jar is 50% red, 30% blue, and 20% green, then the handful of candies you take keeps the same balance.
In data science, we do the same thing when we pick samples from a dataset: we make sure that different groups (like categories of people, animals, or weather types) are still fairly represented!
tidymodels, the rsample package provides functions for creating initial splits of data.initial_split() function is used to create a single split of the data.prop argument defines the proportion of the data to be used for training.training() and testing() functions to extract the partitioned data from the full set:penguins_train <- training(resample_split)
glimpse(penguins_train)
#> Rows: 275
#> Columns: 8
#> $ species <fct> Gentoo, Adelie, Gentoo, Chinstrap, Gentoo, Chinstrap…
#> $ island <fct> Biscoe, Torgersen, Biscoe, Dream, Biscoe, Dream, Dre…
#> $ bill_length_mm <dbl> 46.2, 43.1, 46.2, 45.9, 46.5, 48.1, 45.2, 55.9, 38.1…
#> $ bill_depth_mm <dbl> 14.9, 19.2, 14.4, 17.1, 13.5, 16.4, 17.8, 17.0, 17.0…
#> $ flipper_length_mm <int> 221, 197, 214, 190, 210, 199, 198, 228, 181, 195, 20…
#> $ body_mass_g <int> 5300, 3500, 4650, 3575, 4550, 3325, 3950, 5600, 3175…
#> $ sex <fct> male, male, NA, female, female, female, female, male…
#> $ year <int> 2008, 2009, 2008, 2007, 2007, 2009, 2007, 2009, 2009…penguins_test <- testing(resample_split)
glimpse(penguins_test)
#> Rows: 69
#> Columns: 8
#> $ species <fct> Adelie, Adelie, Adelie, Adelie, Adelie, Adelie, Adel…
#> $ island <fct> Torgersen, Torgersen, Torgersen, Biscoe, Biscoe, Bis…
#> $ bill_length_mm <dbl> NA, 39.3, 36.6, 35.9, 38.8, 37.9, 39.2, 39.6, 36.7, …
#> $ bill_depth_mm <dbl> NA, 20.6, 17.8, 19.2, 17.2, 18.6, 21.1, 17.2, 18.8, …
#> $ flipper_length_mm <int> NA, 190, 185, 189, 180, 172, 196, 196, 187, 205, 187…
#> $ body_mass_g <int> NA, 3650, 3700, 3800, 3800, 3150, 4150, 3550, 3800, …
#> $ sex <fct> NA, male, female, female, male, female, male, female…
#> $ year <int> 2007, 2007, 2007, 2007, 2007, 2007, 2007, 2008, 2008…Warning
Without stratification, random sampling can over- or under-represent groups. Compare the species proportions below — they don’t match.
# Dataset
(table(penguins$species) / nrow(penguins))
#>
#> Adelie Chinstrap Gentoo
#> 0.4418605 0.1976744 0.3604651
# Training Data
(table(penguins_train$species) / nrow(penguins_train))
#>
#> Adelie Chinstrap Gentoo
#> 0.4581818 0.1818182 0.3600000
# Testing Data
(table(penguins_test$species) / nrow(penguins_test))
#>
#> Adelie Chinstrap Gentoo
#> 0.3768116 0.2608696 0.3623188A stratified random sample conducts a specified split within defined subsets of subsets, and then pools the results.
Only one column can be used to define a strata, but grouping/mutate operations can be used to create a new column that can be used as a strata (e.g. species/island)
In the case of the penguins data, we can stratify by species (think back to our nested/linear model approach)
This ensures that the training and testing sets have the same proportion of each species as the original data.
# Check the proportions
# Dataset
table(penguins$species) / nrow(penguins)
#>
#> Adelie Chinstrap Gentoo
#> 0.4384384 0.2042042 0.3573574
# Training Data
table(train_strata$species) / nrow(train_strata)
#>
#> Adelie Chinstrap Gentoo
#> 0.4377358 0.2037736 0.3584906
# Testing Data
table(test_strata$species) / nrow(test_strata)
#>
#> Adelie Chinstrap Gentoo
#> 0.4411765 0.2058824 0.3529412Once the data is split, we can decide what type of model to invoke.
Often, users simply pick a well known model type or class for a type of problem (Classic Conceptual Model)
We will learn more about model types and uses next week!
For now, just know that the training data is used to fit a model.
If we are certain about the model, we can use the test data to evaluate the model.


But, there are many types of models, with different assumptions, behaviors, and qualities, that make some more applicable to a given dataset!
Most models have some type of parameterization, that can often be tuned.
Testing combinations of model and tuning parameters also requires some combination of training/testing splits.
What if we want to compare more models?
And/or more model configurations?
And we want to understand if these are important differences?
How can we use the training data to compare and evaluate different models? 🤔

Testing combinations of model and tuning parameters also requires some combination of training/testing splits.
Resampling methods, such as cross-validation and bootstrapping, are empirical simulation systems that help facilitate this.
They create a series of data sets similar to the initial training/testing split.
In the first level of the diagram to the right, we first split the original data into training/testing sets. Then, the training set is chosen for resampling.
Warning
Resampling is always used with the training set.
Resampling is a key step in model validation and assessment. The rsample package provides tools to create resampling strategies such as cross-validation, bootstrapping, and validation splits.
K-Fold Cross-Validation: The dataset is split into multiple “folds” (e.g., 5-fold or 10-fold), where each fold is used as a validation set while the remaining data is used for training.
Example (10-fold): On iteration 1, folds 2–10 become the training set and fold 1 is held out for assessment. On iteration 2, fold 2 is held out and folds 1, 3–10 are trained on. After 10 iterations every row has been predicted exactly once from a model it did not train on — and we average the 10 metric values to get a more stable estimate of skill.
penguins_train |> glimpse()
#> Rows: 275
#> Columns: 8
#> $ species <fct> Gentoo, Adelie, Gentoo, Chinstrap, Gentoo, Chinstrap…
#> $ island <fct> Biscoe, Torgersen, Biscoe, Dream, Biscoe, Dream, Dre…
#> $ bill_length_mm <dbl> 46.2, 43.1, 46.2, 45.9, 46.5, 48.1, 45.2, 55.9, 38.1…
#> $ bill_depth_mm <dbl> 14.9, 19.2, 14.4, 17.1, 13.5, 16.4, 17.8, 17.0, 17.0…
#> $ flipper_length_mm <int> 221, 197, 214, 190, 210, 199, 198, 228, 181, 195, 20…
#> $ body_mass_g <int> 5300, 3500, 4650, 3575, 4550, 3325, 3950, 5600, 3175…
#> $ sex <fct> male, male, NA, female, female, female, female, male…
#> $ year <int> 2008, 2009, 2008, 2007, 2007, 2009, 2007, 2009, 2009…nrow(penguins_train) * 1/10
#> [1] 27.5
vfold_cv(penguins_train, v = 10) # v = 10 is default
#> # 10-fold cross-validation
#> # A tibble: 10 × 2
#> splits id
#> <list> <chr>
#> 1 <split [247/28]> Fold01
#> 2 <split [247/28]> Fold02
#> 3 <split [247/28]> Fold03
#> 4 <split [247/28]> Fold04
#> 5 <split [247/28]> Fold05
#> 6 <split [248/27]> Fold06
#> 7 <split [248/27]> Fold07
#> 8 <split [248/27]> Fold08
#> 9 <split [248/27]> Fold09
#> 10 <split [248/27]> Fold10What is in this?
Note
Here is another example of a list column enabling the storage of non-atomic types in tibble
Important
Set the seed when creating resamples
set.seed(3214)
bootstraps(penguins_train)
#> # Bootstrap sampling
#> # A tibble: 25 × 2
#> splits id
#> <list> <chr>
#> 1 <split [275/96]> Bootstrap01
#> 2 <split [275/105]> Bootstrap02
#> 3 <split [275/108]> Bootstrap03
#> 4 <split [275/111]> Bootstrap04
#> 5 <split [275/102]> Bootstrap05
#> 6 <split [275/98]> Bootstrap06
#> 7 <split [275/92]> Bootstrap07
#> 8 <split [275/97]> Bootstrap08
#> 9 <split [275/100]> Bootstrap09
#> 10 <split [275/99]> Bootstrap10
#> # ℹ 15 more rowsset.seed(322)
mc_cv(penguins_train, times = 10)
#> # Monte Carlo cross-validation (0.75/0.25) with 10 resamples
#> # A tibble: 10 × 2
#> splits id
#> <list> <chr>
#> 1 <split [206/69]> Resample01
#> 2 <split [206/69]> Resample02
#> 3 <split [206/69]> Resample03
#> 4 <split [206/69]> Resample04
#> 5 <split [206/69]> Resample05
#> 6 <split [206/69]> Resample06
#> 7 <split [206/69]> Resample07
#> 8 <split [206/69]> Resample08
#> 9 <split [206/69]> Resample09
#> 10 <split [206/69]> Resample10A validation set is just another type of resample
Can we predict if a plot of land is forested?
forested, with levels "Yes" and "No"?forested to learn more about this dataset, including references.One observation from each of 7,107 6000-acre hexagons in Washington state.
A nominal outcome, forested, with levels "Yes" and "No", measured on-the-ground (expensive, slow).
18 remotely-sensed and easily-accessible predictors (cheap, fast, wall-to-wall coverage).
The ML framing: use cheap, abundant predictors to estimate an expensive ground-truth label so the Forest Service can predict forest cover without sending a crew to every hexagon.
# Load the dataset
set.seed(123)
# Create a 10-fold cross-validation object
(forested_folds <- vfold_cv(forested_train, v = 10))
#> # 10-fold cross-validation
#> # A tibble: 10 × 2
#> splits id
#> <list> <chr>
#> 1 <split [5116/569]> Fold01
#> 2 <split [5116/569]> Fold02
#> 3 <split [5116/569]> Fold03
#> 4 <split [5116/569]> Fold04
#> 5 <split [5116/569]> Fold05
#> 6 <split [5117/568]> Fold06
#> 7 <split [5117/568]> Fold07
#> 8 <split [5117/568]> Fold08
#> 9 <split [5117/568]> Fold09
#> 10 <split [5117/568]> Fold10lm for linear model <– The one we have looked at!
glmnet for regularized regression
keras for regression using TensorFlow
stan for Bayesian regression using Stan
spark for large data sets using spark
brulee for regression using torch (PyTorch)
Comparing 3-5 of these models is a lot of work using functions for diverse packages.


tidymodels framework, all models are created using the same syntax:
parsnip package provides a consistent interface to many modelslinear_reg() functionnew_data and the output are the same
Next week we will discuss model types more thoroughly. For now, we will focus on two types:
We chose these two because they are robust, simple models that fit our goal of predicting a binary condition/class (forested/not forested)
. . .
All available models are listed at https://www.tidymodels.org/find/parsnip/
We have a problem (predict whether a hexagon is forested), data (forested_train), and a way to evaluate predictions. Before we wire up the full tidymodels plumbing, let’s look at the two models we’ll compare today.
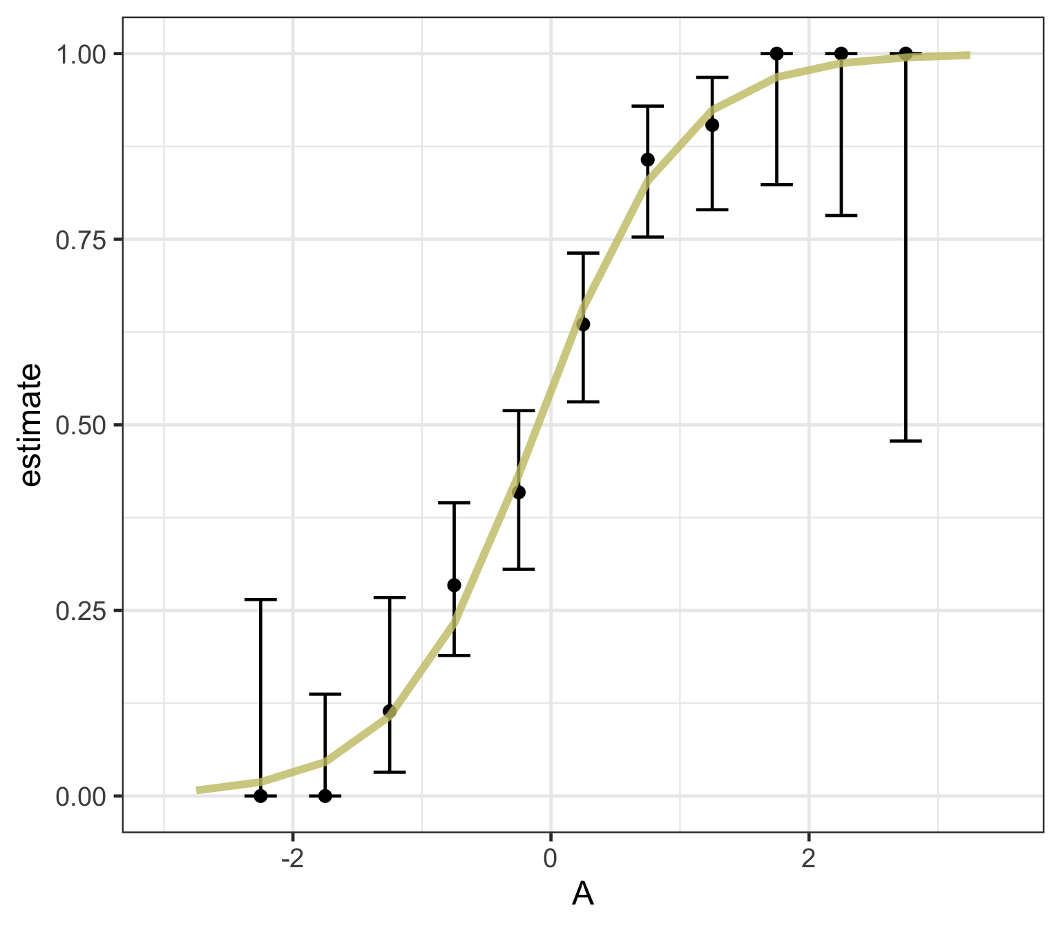
Logistic regression predicts probability—instead of a straight line, it gives an S-shaped curve that estimates how likely an outcome (e.g., is forested) is based on a predictor (e.g., rainfall and temperature).
The dots in the plot show the actual proportion of “successes” (e.g., is forested) within different bins of the predictor variable(s) (A).
The vertical error bars represent uncertainty—showing a range where the true probability might fall.
Logistic regression helps answer “how likely” questions—e.g., “How likely is someone to pass based on their study hours?” rather than just predicting a yes/no outcome.


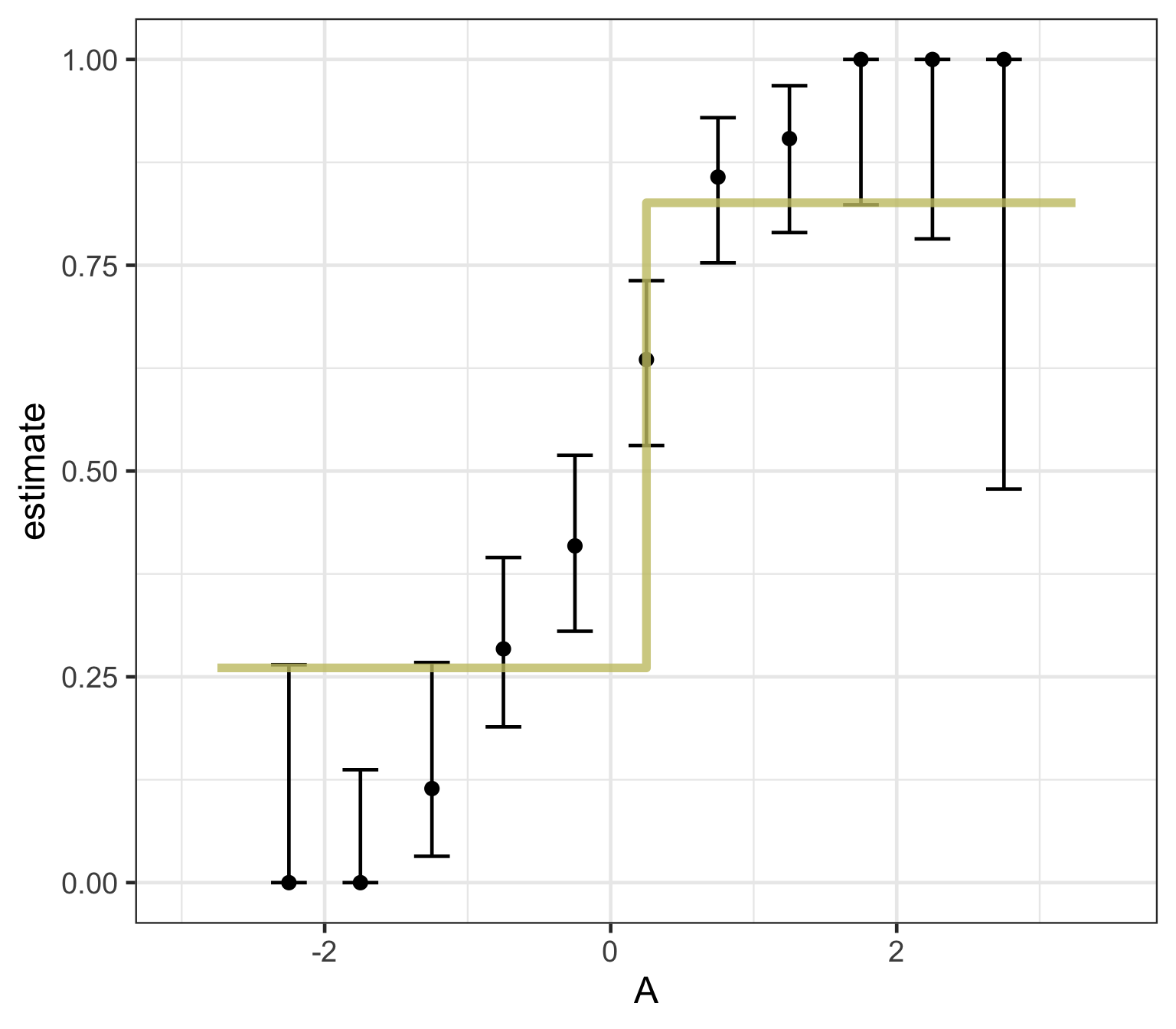
Series of splits or if/then statements based on predictors
First the tree grows until some condition is met (maximum depth, no more data)
Then the tree is pruned to reduce its complexity
Each terminal leaf predicts a class (or, for regression, a numeric value)


A tree’s decision boundary is stepwise — in contrast to the smooth S-curve of logistic regression.
We can only really know by testing them … but we know the options!


recipesA raw formula (forested ~ .) would send features to the model untouched.
But many models care how their features look — different scales, skewed distributions, missing values, or categorical levels can bias the fit.
recipes lets us declare a preprocessing pipeline once, estimate its parameters from the training data, and apply it consistently to every new data set (folds, test set, future predictions).
Important
Preprocessing parameters (means, sds, imputed values, PCA loadings) are learned only on the training set — this prevents data leakage from test data into the fit.
tidymodelsrecipes framework, normalization is declared once and applied consistently to every split — preventing data leakage.step_*() functions handle min-max scaling, z-score standardization, power transforms, and more.| Technique | Idea | When to use | step_* |
|---|---|---|---|
| Min-max | rescale to \([0, 1]\): \(x' = \frac{x - x_\text{min}}{x_\text{max} - x_\text{min}}\) | Need a bounded range; beware outliers | step_range() |
| Z-score | center + scale: \(x' = \frac{x - \mu}{\sigma}\) | Symmetric-ish features, different units | step_normalize() |
| Power | Box-Cox (positive) or Yeo-Johnson (any sign) estimate an optimal power transform | Reshape skew toward normality before scaling | step_YeoJohnson(), step_BoxCox() |
| Log | \(x' = \log(x)\) | Right-skewed positive data (e.g. streamflow) | step_log() |
| PCA | project to a lower-dimensional basis that preserves variance | Many correlated numeric predictors | step_pca() |
Tip
For environmental variables (streamflow, precipitation, concentrations) log is by far the most common first move — they’re almost always right-skewed.
Beyond scaling, three recipes moves you’ll reach for most often in water resources:
step_impute_mean() / step_impute_median() — fast, parametric fillstep_impute_knn() — use neighboring rows (preserves covariance structure)step_dummy(all_nominal_predictors()) — one-hot encodes factorsstep_other() — collapses rare levels into “other”step_interact(terms = ~ aridity:p_mean) — add variable products when the effect of one predictor depends on anotherNote
The full step_* catalog (text, splines, binning, dimension reduction, …) lives at https://recipes.tidymodels.org/reference/. Search there when you need something not listed here.
tidymodelsDeclare a recipe() with a formula + training data.
Add step_*() preprocessing operations (imputation, dummies, normalization, …).
prep() estimates the transformation parameters from the training data.
bake() applies those transformations to any data set (training, test, new).
library(tidymodels)
(recipe_obj <- recipe(flipper_length_mm ~
bill_length_mm + body_mass_g +
sex + island + species,
data = penguins) |>
step_impute_mean(all_numeric_predictors()) |>
step_dummy(all_factor_predictors()) |>
step_normalize(all_numeric_predictors()))
# Prepare and apply transformations
prep_recipe <- prep(recipe_obj, training = penguins)
normalized_data <- bake(prep_recipe, new_data = NULL) |>
mutate(species = penguins$species) |>
drop_na()
head(normalized_data)
#> # A tibble: 6 × 9
#> bill_length_mm body_mass_g flipper_length_mm sex_male island_Dream
#> <dbl> <dbl> <int> <dbl> <dbl>
#> 1 -0.895 -0.568 181 0.990 -0.764
#> 2 -0.822 -0.506 186 -1.01 -0.764
#> 3 -0.675 -1.19 195 -1.01 -0.764
#> 4 -1.33 -0.940 193 -1.01 -0.764
#> 5 -0.858 -0.692 190 0.990 -0.764
#> 6 -0.931 -0.723 181 -1.01 -0.764
#> # ℹ 4 more variables: island_Torgersen <dbl>, species_Chinstrap <dbl>,
#> # species_Gentoo <dbl>, species <fct>recipe() defines preprocessing steps for modeling.
step_impute_mean(all_numeric_predictors()) fills missing numeric values with the column mean (estimated on training data).
step_dummy(all_factor_predictors()) creates dummy variables for categorical predictors.
step_normalize(all_numeric_predictors()) standardizes all numerical predictors (mean 0, sd 1).
prep() estimates parameters for transformations.
bake() applies the transformations to the dataset.
Back to forested. Before we fit any models, let’s declare the preprocessing pipeline we want every model in this deck to use — impute missing numeric values, dummy-encode the nominal predictors, and normalize everything numeric:
Note
We’ll reuse forested_recipe for every model we specify for the rest of today (decision tree, logistic regression, workflow set) — the point of a recipe is to define preprocessing once and reuse it everywhere. The same recipe carries forward into Wednesday’s lecture (VIP + spatial CV) and next week’s (more model families + tuning).
workflow(), it’s useful to see how a recipe + model compose manually: prep() the recipe on the training data, bake() it to get the transformed frame, then hand that frame to fit().dt_model <- decision_tree() %>%
set_engine('rpart') %>%
set_mode("classification")
# Estimate preprocessing parameters (means, dummy levels, etc.) from training data
prepped <- prep(forested_recipe, training = forested_train)
# Apply the pipeline
forested_baked <- bake(prepped, new_data = NULL)
# Fit the model against the fully preprocessed training data
# Note: `.` now picks up the dummy-encoded + normalized columns produced by the recipe
(output <- fit(dt_model, forested ~ ., data = forested_baked))
#> parsnip model object
#>
#> n= 5685
#>
#> node), split, n, loss, yval, (yprob)
#> * denotes terminal node
#>
#> 1) root 5685 2571 Yes (0.54775726 0.45224274)
#> 2) land_type_Tree>=-0.06433113 3025 289 Yes (0.90446281 0.09553719) *
#> 3) land_type_Tree< -0.06433113 2660 378 No (0.14210526 0.85789474)
#> 6) temp_annual_max< -0.1737334 351 155 Yes (0.55840456 0.44159544)
#> 12) tree_no_tree_No.tree< 0.04242667 91 5 Yes (0.94505495 0.05494505) *
#> 13) tree_no_tree_No.tree>=0.04242667 260 110 No (0.42307692 0.57692308) *
#> 7) temp_annual_max>=-0.1737334 2309 182 No (0.07882200 0.92117800) *Tip
This prep → bake → fit dance is what workflow() automates on the next slide. Seeing it once makes the workflow version less magical.
While tidymodels provides a standard interface to all models all base models have specific methods (remember summary.lm? )
To use these, you must extract the underlying object.
extract_fit_engine() extracts the underlying model object
extract_fit_parsnip() extracts the parsnip object
extract_recipe() extracts the recipe object
extract_preprocessor() extracts the preprocessor object
… many more
The workflows package bundles a preprocessor (recipe or formula) and a model spec into a single object. Instead of managing prep → bake → fit by hand, you hand the workflow your training data and it does the bookkeeping on every resample.
The four-step pattern:
workflow() — like ggplot() instantiates a canvas)add_recipe() or add_formula())add_model())fit() or fit_resamples())Why bother?
✅ Preprocessing and modeling travel together — no forgetting to bake the test set ✅ Same skeleton for every model — swap in a new add_model() spec and go ✅ Works identically with a single fit(), resamples, or tuning
Instead of prep/bake/fit by hand, drop the recipe and the model into a workflow() and let it do the bookkeeping:
#> ══ Workflow [trained] ══════════════════════════════════════════════════════════
#> Preprocessor: Recipe
#> Model: decision_tree()
#>
#> ── Preprocessor ────────────────────────────────────────────────────────────────
#> 3 Recipe Steps
#>
#> • step_impute_mean()
#> • step_dummy()
#> • step_normalize()
#>
#> ── Model ───────────────────────────────────────────────────────────────────────
#> n= 5685
#>
#> node), split, n, loss, yval, (yprob)
#> * denotes terminal node
#>
#> 1) root 5685 2571 Yes (0.54775726 0.45224274)
#> 2) land_type_Tree>=-0.06433113 3025 289 Yes (0.90446281 0.09553719) *
#> 3) land_type_Tree< -0.06433113 2660 378 No (0.14210526 0.85789474)
#> 6) temp_annual_max< -0.1737334 351 155 Yes (0.55840456 0.44159544)
#> 12) tree_no_tree_No.tree< 0.04242667 91 5 Yes (0.94505495 0.05494505) *
#> 13) tree_no_tree_No.tree>=0.04242667 260 110 No (0.42307692 0.57692308) *
#> 7) temp_annual_max>=-0.1737334 2309 182 No (0.07882200 0.92117800) *
Tip
add_recipe() means the workflow carries your feature engineering pipeline and the model together — fit() automatically prep()/bake()s for every resample. (You can use add_formula() instead if you don’t need any preprocessing, but once you have a recipe there’s no reason to.)
How do you apply your fitted workflow to the test set?
augment() on a workflow accepts new_data = and returns the test data with predictions appended.#> # A tibble: 1,422 × 22
#> .pred_class .pred_Yes .pred_No forested year elevation eastness northness
#> <fct> <dbl> <dbl> <fct> <dbl> <dbl> <dbl> <dbl>
#> 1 Yes 0.904 0.0955 No 2005 164 -84 53
#> 2 Yes 0.904 0.0955 Yes 2005 806 47 -88
#> 3 No 0.423 0.577 Yes 2005 2240 -67 -74
#> 4 Yes 0.904 0.0955 Yes 2005 787 66 -74
#> 5 Yes 0.904 0.0955 Yes 2005 1330 99 7
#> 6 Yes 0.904 0.0955 Yes 2005 1423 46 88
#> 7 Yes 0.904 0.0955 Yes 2014 546 -92 -38
#> 8 Yes 0.904 0.0955 Yes 2014 1612 30 -95
#> 9 No 0.0788 0.921 No 2014 235 0 -100
#> 10 No 0.0788 0.921 No 2014 308 -70 -70
#> # ℹ 1,412 more rows
#> # ℹ 14 more variables: roughness <dbl>, tree_no_tree <fct>, dew_temp <dbl>,
#> # precip_annual <dbl>, temp_annual_mean <dbl>, temp_annual_min <dbl>,
#> # temp_annual_max <dbl>, temp_january_min <dbl>, vapor_min <dbl>,
#> # vapor_max <dbl>, canopy_cover <dbl>, lon <dbl>, lat <dbl>, land_type <fct>
How do you evaluate the skill of your models?
We will learn more about model evaluation and tuning later in this unit, but for now we can blindly use the metrics() function defaults to get a sense of how our model is doing.
The default metrics for classification models are accuracy and kap (Cohen’s Kappa)
The default metrics for regression models are rmse, rsq (R²), and mae
tidymodels advantage! Now let’s say you want to check if the logistic regression model performs better than the decision tree.
That sounds like a lot to repeat.
Fortunately, the tidymodels framework makes this a straightforward swap!
log_mod = logistic_reg() %>%
set_engine("glm") %>%
set_mode("classification")
log_wf <- workflow() %>%
add_recipe(forested_recipe) %>%
add_model(log_mod) %>%
fit(data = forested_train)
log_preds <- augment(log_wf, new_data = forested_test)
metrics(log_preds, truth = forested, estimate = .pred_class)
#> # A tibble: 2 × 3
#> .metric .estimator .estimate
#> <chr> <chr> <dbl>
#> 1 accuracy binary 0.890
#> 2 kap binary 0.777Note
Note how little changed: same recipe, same workflow skeleton — only the model spec is different. That swap is the whole point of tidymodels.
metrics(dt_preds, truth = forested, estimate = .pred_class)
#> # A tibble: 2 × 3
#> .metric .estimator .estimate
#> <chr> <chr> <dbl>
#> 1 accuracy binary 0.885
#> 2 kap binary 0.768
metrics(log_preds, truth = forested, estimate = .pred_class)
#> # A tibble: 2 × 3
#> .metric .estimator .estimate
#> <chr> <chr> <dbl>
#> 1 accuracy binary 0.890
#> 2 kap binary 0.777Right out of the gate, there doesn’t seem to be much difference, but …
resamples to better understand the skill of a model based on the iterative leave-out policy:#> # A tibble: 1 × 5
#> splits id .metrics .notes .predictions
#> <list> <chr> <list> <list> <list>
#> 1 <split [5116/569]> Fold01 <tibble [3 × 4]> <tibble [0 × 4]> <tibble [569 × 6]>
Note
tidyr::unnest could be used to expand any of those list columns!
#> # Resampling results
#> # 10-fold cross-validation
#> # A tibble: 10 × 5
#> splits id .metrics .notes .predictions
#> <list> <chr> <list> <list> <list>
#> 1 <split [5116/569]> Fold01 <tibble [3 × 4]> <tibble [0 × 4]> <tibble>
#> 2 <split [5116/569]> Fold02 <tibble [3 × 4]> <tibble [0 × 4]> <tibble>
#> 3 <split [5116/569]> Fold03 <tibble [3 × 4]> <tibble [0 × 4]> <tibble>
#> 4 <split [5116/569]> Fold04 <tibble [3 × 4]> <tibble [0 × 4]> <tibble>
#> 5 <split [5116/569]> Fold05 <tibble [3 × 4]> <tibble [0 × 4]> <tibble>
#> 6 <split [5117/568]> Fold06 <tibble [3 × 4]> <tibble [0 × 4]> <tibble>
#> 7 <split [5117/568]> Fold07 <tibble [3 × 4]> <tibble [0 × 4]> <tibble>
#> 8 <split [5117/568]> Fold08 <tibble [3 × 4]> <tibble [0 × 4]> <tibble>
#> 9 <split [5117/568]> Fold09 <tibble [3 × 4]> <tibble [0 × 4]> <tibble>
#> 10 <split [5117/568]> Fold10 <tibble [3 × 4]> <tibble [0 × 4]> <tibble>
Since we now have an “ensemble” of models (across the folds), we can collect a summary of the metrics across them.
The default metrics for classification ensembles are:
collect_metrics(log_wf_rs)
#> # A tibble: 3 × 6
#> .metric .estimator mean n std_err .config
#> <chr> <chr> <dbl> <int> <dbl> <chr>
#> 1 accuracy binary 0.906 10 0.00360 pre0_mod0_post0
#> 2 brier_class binary 0.0714 10 0.00191 pre0_mod0_post0
#> 3 roc_auc binary 0.961 10 0.00164 pre0_mod0_post0
collect_metrics(dt_wf_rs)
#> # A tibble: 3 × 6
#> .metric .estimator mean n std_err .config
#> <chr> <chr> <dbl> <int> <dbl> <chr>
#> 1 accuracy binary 0.896 10 0.00385 pre0_mod0_post0
#> 2 brier_class binary 0.0889 10 0.00224 pre0_mod0_post0
#> 3 roc_auc binary 0.909 10 0.00267 pre0_mod0_post0workflowsetsOK, so we have streamlined a lot of things with tidymodels:
We have a specified preprocessor (e.g. formula or recipe)
We have defined a model (complete with engine and mode)
We have implemented workflows pairing each model with the preprocessor to either fit the model to the resamples, or, the training data.
While a significant improvement, we can do better!
Note
Does the idea of implementing a process over a list of elements ring a bell?
workflowsets is a package that builds off of purrr and allows you to iterate over multiple models and/or multiple resamples
Remember how map, map_*, map2, and walk2 functions allow lists to map to lists or vectors? workflow_set maps a preprocessor (formula or recipe) to a set of models - each provided as a list object.
To start, we will create a workflow_set object (instead of a workflow). The first argument is a list of preprocessor objects (formulas or recipes) and the second argument is a list of model objects.
Both must be lists, by nature of the underlying purrr code.
Once the workflow_set object is created, the workflow_map function can be used to map a function across the preprocessor/model combinations.
Here we are mapping the fit_resamples function across the workflow_set combinations using the resamples argument to specify the resamples we want to use (forested_folds).
#> # A workflow set/tibble: 2 × 4
#> wflow_id info option result
#> <chr> <list> <list> <list>
#> 1 recipe_logistic_reg <tibble [1 × 4]> <opts[1]> <rsmp[+]>
#> 2 recipe_decision_tree <tibble [1 × 4]> <opts[1]> <rsmp[+]>
With that single function, all models have been fit to the resamples and we can quickly compare the results both graphically and statistically:
# Long list of results, ranked by accuracy
rank_results(wf_obj,
rank_metric = "accuracy",
select_best = TRUE)
#> # A tibble: 6 × 9
#> wflow_id .config .metric mean std_err n preprocessor model rank
#> <chr> <chr> <chr> <dbl> <dbl> <int> <chr> <chr> <int>
#> 1 recipe_logistic… pre0_m… accura… 0.906 0.00360 10 recipe logi… 1
#> 2 recipe_logistic… pre0_m… brier_… 0.0714 0.00191 10 recipe logi… 1
#> 3 recipe_logistic… pre0_m… roc_auc 0.961 0.00164 10 recipe logi… 1
#> 4 recipe_decision… pre0_m… accura… 0.896 0.00385 10 recipe deci… 2
#> 5 recipe_decision… pre0_m… brier_… 0.0889 0.00224 10 recipe deci… 2
#> 6 recipe_decision… pre0_m… roc_auc 0.909 0.00267 10 recipe deci… 2Overall, the logistic regression model appears to be the best model for this data set!
Note
Keep in mind: we compared these models out of the box, with no feature engineering, no hyperparameter tuning, and a single resampling scheme. Next week we’ll revisit this comparison once we can actually tune a model 👀
On Wednesday we’ll ask two things collect_metrics() can’t answer: which predictors did the model actually use (VIP) and is our 0.9-ish score honest (spatial cross-validation on autocorrelated data). Next week we’ll meet a bigger zoo of model families and learn to tune them.