Machine Learning Part 2
Machine learning (ML) is widely used in environmental science for tasks such as land cover classification, climate modeling, and species distribution prediction. This lecture explores five common ML model families available through the tidymodels framework in R, applied to the forested dataset we met last week.
Linear Regression
Logistic Regression
Trees
Support Vector Machines
Neural Networks
parsnip (linear, logistic, tree, random forest, boosted trees, SVM, neural network)workflow_set() over cross-validation foldsRunning example: continuing the forested dataset from last week — can we predict whether a 6,000-acre hexagon in Washington is forested?
In tidymodels, a model’s mode tells the engine what kind of outcome it’s predicting:
Classification → Predict a categorical outcome (discrete classes).
Regression → Predict a numeric outcome (a continuous value).
Many of the same model families (trees, SVMs, neural networks, …) can do either — you pick the mode with set_mode().
Goal: Categorize phenomena into discrete classes.
✅ Land Cover Classification (Forest, Urban, Water, Agriculture)
✅ Flood Risk Assessment (High, Medium, Low)
✅ Drought Severity Levels (No Drought, Moderate, Severe)
✅ Wildfire Prediction (Fire vs. No Fire)
✅ Species Identification (Bird species, Plant types)
Goal: Estimate continuous environmental variables.
📈 Streamflow Forecasting (Predict river discharge over time)
🌡️ Temperature Projections (Future temperature changes under climate scenarios)
☔ Precipitation Forecasting (Rainfall estimates for flood preparedness)
📊 Air Quality Index Prediction (Forecast pollution levels)
Use classification if: You need to categorize environmental states (e.g., classifying land use changes).
Use regression if: You need to estimate a continuous environmental value (e.g., predicting flood levels).
Use hybrid approaches if: You need to classify and estimate (e.g., classifying drought severity and predicting future water availability).
Choosing an ML algorithm (model) depends on:
Dataset Size: e.g. Large datasets benefit from ensemble methods like Random Forest and XGBoost.
Feature Complexity: e.g. SVM works well for high-dimensional data.
Interpretability Needs: e.g. Decision trees and LASSO regression provide intuitive insights.
Computation Constraints: e.g. GLM and Decision Trees are efficient compared to XGBoost.
Data: Variance, linearity, dimensionality
We will use the forested dataset for classification. Each row is a 6,000-acre hexagon in Washington state with an on-the-ground forested label ("Yes"/"No") and 18 remotely-sensed predictors (elevation, climate summaries, vegetation indices, etc.).
set.seed(123)
forested_split <- initial_split(forested, strata = forested)
forested_train <- training(forested_split)
forested_test <- testing(forested_split)
forested_folds <- vfold_cv(forested_train, v = 10)
# Feature Engineering: Classification
forested_recipe <- recipe(forested ~ ., data = forested_train) |>
step_impute_mean(all_numeric_predictors()) |>
step_dummy(all_nominal_predictors()) |>
step_normalize(all_numeric_predictors())tidymodelsparsnip package is a part of the tidymodels frameworkcollect_metrics() will show us Every example below ends with a collect_metrics() call. For classification models the default output is three metrics you should know before reading them:
| Metric | What it measures | Range | Good value |
|---|---|---|---|
| accuracy | Fraction of predictions that match the truth | 0–1 | higher |
| roc_auc | Probability the model ranks a true positive above a true negative at any threshold (separation) | 0–1 | higher (>0.8 good) |
| brier_class | Mean squared error between predicted probability and outcome (calibration) | 0–1 | lower (<0.25 acceptable) |
We’ll unpack each — plus sensitivity, specificity, and the confusion matrix — after the model zoo.
Note
Regression models default to rmse, rsq, mae instead — covered in the Regression Metrics section.
parsnip function |
Family | Typical strength | Typical weakness | Key hyperparameters |
|---|---|---|---|---|
linear_reg() |
Linear | Fast, interpretable | Assumes linearity | penalty, mixture |
logistic_reg() |
GLM (classification) | Probabilities + interpretable coefs | Linear decision boundary | penalty, mixture |
decision_tree() |
Tree | Visual, handles non-linearity | Overfits, unstable | tree_depth, min_n, cost_complexity |
rand_forest() |
Tree ensemble (bagging) | Robust, little tuning needed | Slower, less interpretable | trees, mtry, min_n |
boost_tree() |
Tree ensemble (boosting) | Often top accuracy on tabular data | Tuning-sensitive, risk of overfit | trees, learn_rate, min_n, mtry |
svm_poly() / svm_rbf() |
Margin-based | High-dim, small-N friendly | Slow at scale, needs scaling | cost, degree, rbf_sigma |
mlp() |
Neural network | Learns complex non-linearities | Data-hungry, opaque | hidden_units, penalty, epochs |
We’ll walk through each family below — keep this table handy; we won’t re-derive each row.
Linear regression is a fundamental statistical method used for modeling the relationship between a dependent variable and one or more independent variables. It is widely used in environmental science for tasks such as predicting species distribution, estimating climate variables, and modeling ecosystem dynamics.
tidymodelsengine | mode | specification |
|---|---|---|
lm | regression | linear_reg |
glm | regression | linear_reg |
glmnet | regression | linear_reg |
stan | regression | linear_reg |
spark | regression | linear_reg |
keras | regression | linear_reg |
brulee | regression | linear_reg |
quantreg | quantile regression | linear_reg |
Warning
This example predicts elevation from the other columns — it’s a syntactic demo of parsnip’s regression mode, not a meaningful scientific model. In a real regression problem you’d pick an outcome that represents what you actually want to estimate.
# penalty and mixture are available when engine = "glmnet" (regularized regression)
lm_mod <- linear_reg(mode = "regression", engine = "lm")
workflow() |>
add_formula(elevation ~ .) |>
add_model(lm_mod) |>
fit_resamples(resamples = forested_folds) |>
collect_metrics()
#> # A tibble: 2 × 6
#> .metric .estimator mean n std_err .config
#> <chr> <chr> <dbl> <int> <dbl> <chr>
#> 1 rmse standard 82.9 10 1.33 pre0_mod0_post0
#> 2 rsq standard 0.971 10 0.00120 pre0_mod0_post0Logistic Regression is used for binary classification tasks. It models the probability that an observation belongs to a category using the logistic (sigmoid) function. Unlike linear regression, which predicts continuous values, logistic regression predicts probabilities and applies a decision threshold to classify outcomes.
Sigmoid Function: Squashes any real number into a probability between 0 and 1. A large positive score → near 1 (“yes”); a large negative score → near 0 (“no”). (top plot: the S-curve)
Decision Boundary: Once we have probabilities, we pick a cutoff (default 0.5) to assign a class. Everything above → “Yes”, below → “No”. (top plot: the dashed line separating the two groups)
Log-Loss (Binary Cross-Entropy): The model’s training objective — penalizes confident wrong predictions harshly. Lower is better. (bottom plot: loss falling as training progresses)
Regularization (L1 and L2): A penalty added to the loss that shrinks large coefficients toward zero — prevents the model from over-relying on any single feature.

Binary Logistic Regression: Used when the target variable has two classes (e.g., forested vs. not).
Multinomial Logistic Regression: Extends logistic regression to multiple classes without assuming ordering.
Ordinal Logistic Regression: Handles multi-class classification where order matters (e.g., rating scales).
penalty (λ): Strength of regularization — how much large coefficients are penalized. Higher → simpler model, less overfitting but potentially underfit. Lower → model fits training data more closely, risk of overfitting. Tuned on a log scale (e.g., 10⁻⁵ to 1).mixture (α): Blend of L1 (lasso) and L2 (ridge) regularization. 0 → pure ridge (shrinks all coefficients, keeps all features). 1 → pure lasso (drives some coefficients to exactly zero, effectively removing features). Values between 0–1 blend both behaviors.tidymodels#> Logistic Regression Model Specification (classification)
#>
#> Computational engine: glm
engine | mode | specification |
|---|---|---|
glm | classification | logistic_reg |
glmnet | classification | logistic_reg |
LiblineaR | classification | logistic_reg |
spark | classification | logistic_reg |
keras | classification | logistic_reg |
stan | classification | logistic_reg |
brulee | classification | logistic_reg |
log_model <- logistic_reg(penalty = 0.01, mixture = 0) |>
set_engine("glmnet") |>
set_mode('classification')
workflow() |>
add_recipe(forested_recipe) |>
add_model(log_model) |>
fit_resamples(resamples = forested_folds) |>
collect_metrics()
#> # A tibble: 3 × 6
#> .metric .estimator mean n std_err .config
#> <chr> <chr> <dbl> <int> <dbl> <chr>
#> 1 accuracy binary 0.898 10 0.00392 pre0_mod0_post0
#> 2 brier_class binary 0.0778 10 0.00230 pre0_mod0_post0
#> 3 roc_auc binary 0.957 10 0.00211 pre0_mod0_post0A Decision Tree is a flowchart-like structure used for decision-making and predictive modeling. It consists of nodes representing decisions, branches indicating possible outcomes, and leaf nodes that represent final classifications or numerical outputs. Decision Trees are widely used in both classification and regression tasks.

Several criteria can be used to determine the best split:
- Gini Impurity: Measures the impurity of a node, used in Classification and Regression Trees (CART).
- Entropy (Information Gain): Measures the randomness in a dataset.
- Mean Squared Error (MSE): Used for regression trees to minimize variance within nodes.
cost_complexity (Cp): Penalty applied to each additional split during pruning. Higher → more pruning, simpler tree, less overfitting. Lower → tree grows more freely and fits training data more closely. Default is 0.01; setting near 0 allows full growth.tree_depth: Maximum number of splits from root to leaf. Higher → tree can capture more complex patterns. Lower → simpler, more generalizable tree. Depth 1 creates a single-split “stump.” Typical range: 3–15.min_n: Minimum number of observations required in a node before attempting a split. Higher → fewer, larger leaves (acts as regularization). Lower → finer-grained splits that may overfit noise.#> Decision Tree Model Specification (unknown mode)
#>
#> Computational engine: rpart
dt_model <- decision_tree(cost_complexity = 0.01, tree_depth = 10, min_n = 3) |>
set_engine("rpart") |>
set_mode('classification')
workflow() |>
add_recipe(forested_recipe) |>
add_model(dt_model) |>
fit_resamples(resamples = forested_folds) |>
collect_metrics()
#> # A tibble: 3 × 6
#> .metric .estimator mean n std_err .config
#> <chr> <chr> <dbl> <int> <dbl> <chr>
#> 1 accuracy binary 0.898 10 0.00337 pre0_mod0_post0
#> 2 brier_class binary 0.0878 10 0.00287 pre0_mod0_post0
#> 3 roc_auc binary 0.908 10 0.00391 pre0_mod0_post0Tip
Notice the pattern: recipe → model → fit_resamples → collect_metrics. It’s going to repeat for every model below. We’ll generalize this repetition with workflow_set() at the end so you don’t write the same four lines six times.
Random Forest is an ensemble learning method that constructs multiple decision trees and aggregates their predictions to improve accuracy and reduce overfitting. It can be used for both classification and regression tasks.
trees: Number of trees in the ensemble. More trees → more stable, reliable predictions. Diminishing returns beyond ~500. Unlike depth, adding trees almost never hurts — it’s mainly a compute budget question. Start with 500–1000.min_n: Minimum observations needed before a node can split. Higher → shallower, more regularized trees with larger leaves. Lower → deeper trees that fit training data more closely. Acts as implicit depth control across all trees.mtry: Number of features randomly considered at each split. Lower → more diverse, decorrelated trees (often better ensemble performance). Higher → each tree is individually stronger but trees become more similar. Default is √p (classification) or p/3 (regression), where p = number of predictors.#> Random Forest Model Specification (unknown mode)
#>
#> Computational engine: ranger
engine | mode | specification |
|---|---|---|
ranger | classification | rand_forest |
ranger | regression | rand_forest |
randomForest | classification | rand_forest |
randomForest | regression | rand_forest |
spark | classification | rand_forest |
spark | regression | rand_forest |
grf | classification | rand_forest |
grf | regression | rand_forest |
grf | quantile regression | rand_forest |
# Define a Random Forest model
rf_model <- rand_forest(trees = 10, mtry = 4, min_n = 5) |>
set_engine("ranger", importance = "impurity") |>
set_mode("classification")
workflow() |>
add_recipe(forested_recipe) |>
add_model(rf_model) |>
fit_resamples(resamples = forested_folds) |>
collect_metrics()
#> # A tibble: 3 × 6
#> .metric .estimator mean n std_err .config
#> <chr> <chr> <dbl> <int> <dbl> <chr>
#> 1 accuracy binary 0.914 10 0.00440 pre0_mod0_post0
#> 2 brier_class binary 0.0671 10 0.00236 pre0_mod0_post0
#> 3 roc_auc binary 0.962 10 0.00263 pre0_mod0_post0Boosting is an ensemble learning technique that builds multiple weak models (often decision trees) sequentially, with each model correcting the errors of its predecessor. This iterative process improves predictive accuracy and reduces bias, making boosting one of the most powerful machine learning methods. Popular implementations include Gradient Boosting Machines (GBM), XGBoost (Extreme Gradient Boosting), LightGBM, and CatBoost.
eta): Controls the contribution of each tree to the final prediction.lambda and alpha): Penalizes complex trees to prevent overfitting.Gradient Boosting Machines (GBM): A general boosting method that minimizes loss using gradient descent.
XGBoost (Extreme Gradient Boosting): An optimized version of GBM that is computationally efficient and includes regularization.
LightGBM: Designed for efficiency on large datasets by using histogram-based learning and reducing memory usage.
CatBoost: Specialized for categorical data, using ordered boosting and permutation techniques to reduce bias.
trees: Number of boosting rounds (sequential trees added). More trees → potentially better accuracy, but overfitting risk grows. Use stop_iter to halt early if improvement plateaus.tree_depth: Depth of each individual tree. Unlike random forest, boosted trees intentionally use shallow trees (depth 1–6) — they learn complexity through accumulation, not deep single trees.learn_rate (XGBoost: eta): Shrinkage applied to each tree’s contribution. Lower → smaller updates per tree, needs more trees but generalizes better. Higher → faster learning but risk of overshooting. Typical range: 0.001–0.1.loss_reduction (XGBoost: gamma): Minimum improvement in loss required to make a split. Higher → more conservative splits, simpler trees. Default 0; increase to regularize.mtry (XGBoost: colsample_bytree): Fraction of features randomly sampled per tree. Adds the same diversifying randomness as in random forest — reduces correlation between successive trees.tidymodelsb_model <- boost_tree(
trees = 15,
tree_depth = 6,
learn_rate = 0.3,
loss_reduction = 0,
mtry = 1
) |>
set_engine("xgboost") |>
set_mode("classification")
workflow() |>
add_recipe(forested_recipe) |>
add_model(b_model) |>
fit_resamples(resamples = forested_folds) |>
collect_metrics()
#> # A tibble: 3 × 6
#> .metric .estimator mean n std_err .config
#> <chr> <chr> <dbl> <int> <dbl> <chr>
#> 1 accuracy binary 0.910 10 0.00340 pre0_mod0_post0
#> 2 brier_class binary 0.0668 10 0.00229 pre0_mod0_post0
#> 3 roc_auc binary 0.967 10 0.00228 pre0_mod0_post0Support Vector Machines (SVMs) are a supervised learning algorithm used for classification and regression tasks. It works by finding the optimal hyperplane that best separates data points into different classes.
C) to control trade-offs between a wider margin and misclassifications.cost (C): Trade-off between a wide margin and misclassifying training points. High → tries to correctly classify every training point (narrow margin, risk of overfitting). Low → accepts some misclassifications for a wider, more robust margin.degree (svm_poly() only): Degree of the polynomial kernel. Higher → more complex, curved decision boundary. Degree 1 = linear; degree 2 = quadratic. Rarely go above 3.rbf_sigma (svm_rbf() only): Controls how far each training point’s influence reaches. High → tight local influence (complex, wiggly boundary). Low → wide influence (smooth, global boundary). Tuned on a log scale.tidymodels#> Polynomial Support Vector Machine Model Specification (unknown mode)
#>
#> Computational engine: kernlab
#> Radial Basis Function Support Vector Machine Model Specification (unknown mode)
#>
#> Computational engine: kernlab
svm_model <- svm_poly(cost = 1, degree = 1) |>
set_engine("kernlab") |>
set_mode("classification")
workflow() |>
add_recipe(forested_recipe) |>
add_model(svm_model) |>
fit_resamples(resamples = forested_folds) |>
collect_metrics()
#> # A tibble: 3 × 6
#> .metric .estimator mean n std_err .config
#> <chr> <chr> <dbl> <int> <dbl> <chr>
#> 1 accuracy binary 0.905 10 0.00382 pre0_mod0_post0
#> 2 brier_class binary 0.0727 10 0.00259 pre0_mod0_post0
#> 3 roc_auc binary 0.957 10 0.00255 pre0_mod0_post0A Neural Network is a computational model inspired by the structure of the human brain. It consists of layers of interconnected neurons that transform input data to learn patterns and make predictions. Neural Networks are widely used for tasks such as image recognition, natural language processing, and time series forecasting.
Neurons: The fundamental units that receive, process, and transmit information.
Input Layer: The initial layer that receives raw data.
Hidden Layers: Intermediate layers where computations occur to learn features.
Output Layer: Produces the final prediction or classification.
Weights & Biases: Parameters that are optimized during training.
Activation Functions: Functions like ReLU, Sigmoid, and Softmax that introduce non-linearity.

hidden_units: Number of neurons in the hidden layer(s). More neurons → capacity to learn more complex patterns, but slower training and higher overfitting risk. For tabular data, 5–100 is a typical starting range.penalty (weight decay): L2 regularization on the weights. Higher → simpler, more generalizable network. Lower → network fits training data more closely.dropout: Fraction of neurons randomly disabled each training batch. Forces the network to not rely on any single neuron — a strong regularizer. Typical values: 0.1–0.5. Set to 0 to disable.epochs: Number of complete passes through the training data. Too few → underfitting. Too many → overfitting. Pair with early stopping when possible.activation: Non-linearity applied to each neuron’s output. ReLU (default) works well for hidden layers and avoids vanishing gradients. Sigmoid/tanh are used in specific output-layer or recurrent contexts.learn_rate: Step size for gradient descent weight updates. Too high → training oscillates and fails to converge. Too low → training is very slow. Typical range: 0.001–0.01.mlp() → Generic MLP model (uses “nnet”, “keras”, or “brulee” as an engine).
bag_mlp() → Bagged MLP model using “nnet” (reduces variance).
brulee::mlp() → MLP model using torch via brulee (more scalable and flexible).
Which one you choose depends on your dataset size, computational resources, and need for ensembling. If you need better scalability, brulee::mlp() is likely a better choice. If you want a quick MLP with some regularization, mlp() with “nnet” or “keras” works. If variance reduction is a concern, bag_mlp() is a solid option.
mlp() defines a multilayer perceptron model (a.k.a. a single layer, feed-forward neural network). This function can fit classification and regression models.
#> Single Layer Neural Network Model Specification (unknown mode)
#>
#> Computational engine: nnet
nn_model <- mlp(
hidden_units = 5,
penalty = 0.01,
epochs = 100
# dropout, activation, learn_rate require engine = "brulee" or "keras"
) |>
set_engine("nnet") |>
set_mode("classification")
workflow() |>
add_recipe(forested_recipe) |>
add_model(nn_model) |>
fit_resamples(resamples = forested_folds) |>
collect_metrics()
#> # A tibble: 3 × 6
#> .metric .estimator mean n std_err .config
#> <chr> <chr> <dbl> <int> <dbl> <chr>
#> 1 accuracy binary 0.910 10 0.00326 pre0_mod0_post0
#> 2 brier_class binary 0.117 10 0.000981 pre0_mod0_post0
#> 3 roc_auc binary 0.965 10 0.00193 pre0_mod0_post0Let’s combine all the models and evaluate their performance using cross-validation.
We learned about cross-validation last week and its importance in evaluating model performance.
We will use a workflow_set() (also from last week) to fit multiple models at once and compare their performance.
Remember, we have not implemented any hyperparameter tuning yet, so these are just base models.
How to read this plot: Each dot is the mean CV metric across 10 folds; whiskers are ±1 SE. A model whose interval is highest and tightest is both accurate and consistent. Overlapping intervals mean the difference may not be meaningful — prefer the simpler model when in doubt.
Since the boosted-tree model gave the best out-of-the-box performance, we can:
forested_test set to get an honest estimate of skill on unseen data.final_fit <- workflow() |>
add_recipe(forested_recipe) |>
# Selected model
add_model(b_model) |>
# Trained on the full training dataset
fit(data = forested_train) |>
# Validated against held-out data
augment(new_data = forested_test)
# Final results
metrics(final_fit, truth = forested, estimate = .pred_class)
#> # A tibble: 2 × 3
#> .metric .estimator .estimate
#> <chr> <chr> <dbl>
#> 1 accuracy binary 0.909
#> 2 kap binary 0.817
conf_mat(final_fit, truth = forested, estimate = .pred_class)
#> Truth
#> Prediction Yes No
#> Yes 911 98
#> No 63 706Important
This is the untuned boosted tree — the same model we compared with workflow_set() above. It’s a baseline. In the tuning section below we’ll search over trees, learn_rate, and min_n for this same model and fit the final tuned version with last_fit() against this same forested_split. Expect the tuned version to beat this number.
library(tidymodels)
library(forested)
# Set a seed
set.seed(123)
# Initialize split
forested_split <- initial_split(forested, strata = forested)
forested_train <- training(forested_split)
forested_test <- testing(forested_split)
# Build Resamples
forested_folds <- vfold_cv(forested_train, v = 10)
# Winning model from the model zoo comparison
b_mod_eval <- boost_tree(
trees = 15, tree_depth = 6, learn_rate = 0.3, loss_reduction = 0, mtry = 1
) |>
set_engine("xgboost") |>
set_mode("classification")
# Workflow using the recipe built earlier
forested_wflow <- workflow(forested_recipe, b_mod_eval)
forested_fit <- fit(forested_wflow, forested_train)
# Extracting Predictions:
augment(forested_fit, new_data = forested_train)
#> # A tibble: 5,329 × 22
#> .pred_class .pred_Yes .pred_No forested year elevation eastness northness
#> <fct> <dbl> <dbl> <fct> <dbl> <dbl> <dbl> <dbl>
#> 1 Yes 0.798 0.202 No 2005 164 -84 53
#> 2 No 0.393 0.607 No 2005 1713 -66 75
#> 3 No 0.0235 0.977 No 2014 542 -32 -94
#> 4 No 0.0464 0.954 No 2014 759 -2 -99
#> 5 No 0.00827 0.992 No 2014 119 0 0
#> 6 No 0.0456 0.954 No 2014 246 22 -97
#> 7 No 0.0137 0.986 No 2014 235 0 -100
#> 8 No 0.00859 0.991 No 2014 324 71 70
#> 9 No 0.0106 0.989 No 2014 419 86 -49
#> 10 No 0.00792 0.992 No 2014 308 -70 -70
#> # ℹ 5,319 more rows
#> # ℹ 14 more variables: roughness <dbl>, tree_no_tree <fct>, dew_temp <dbl>,
#> # precip_annual <dbl>, temp_annual_mean <dbl>, temp_annual_min <dbl>,
#> # temp_annual_max <dbl>, temp_january_min <dbl>, vapor_min <dbl>,
#> # vapor_max <dbl>, canopy_cover <dbl>, lon <dbl>, lat <dbl>, land_type <fct>metrics and collect_metrics to evaluate and compare modelsaccuracy, brier_class, roc_auc
rsq, rmse, mae
Training-set metrics are optimistic
The next examples evaluate against forested_train — the same data the model saw during fitting.
collect_metrics() on resamples) or the held-out forested_test via last_fit().We use training data here only to illustrate what each metric measures with clean, consistent outputs.

These metrics assume that we know the threshold for converting “soft” probability predictions into “hard” class predictions.
For example, if the predicted probability of a tree is 0.7, we might say that the model predicts “Tree” for that observation.
If the predicted probability of a tree is 0.4, we might say that the model predicts “No tree” for that observation.
The threshold is the value that separates the two classes.
The default threshold is 0.5, but this can be changed.
Is a 50% threshold good?
What happens if we say that we need to be 80% sure to declare an event?
What happens for a 20% threshold?
Environmental context: For rare or high-stakes events — flood detection, wildfire risk, species presence — a false negative (missing a real event) is usually far more costly than a false positive. This pushes the threshold lower to maximize sensitivity, accepting more false alarms. The right threshold is a domain decision, not a statistical one.

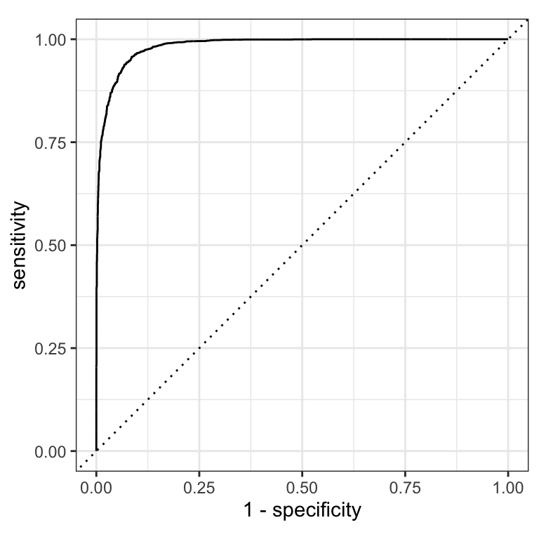
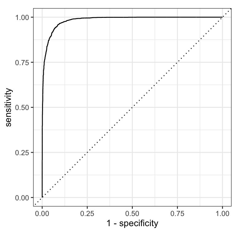
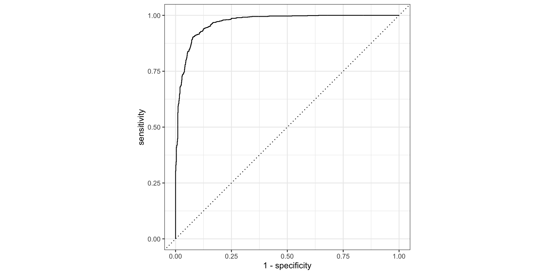
The previous plot showed sensitivity and specificity each varying with threshold. An ROC curve shows the same tradeoff differently: sweep every possible threshold and plot
The diagonal line = random guessing (AUC 0.5). A good model hugs the top-left corner.

ROC AUC = area under the ROC curve = the model’s ability to separate the two classes.
Intuition: give the model a random forested and a random non-forested hexagon — AUC is the probability it scores the forested one higher.

roc_curve() returns a tibble with one row per evaluated threshold — sensitivity and specificity at each point. roc_auc() summarises the whole curve into one number.
(AUC 0.7–0.8 = acceptable, 0.8–0.9 = good, >0.9 = excellent)
# Assumes _first_ factor level is event; there are options to change that
augment(forested_fit, new_data = forested_train) |>
roc_curve(truth = forested, .pred_Yes) |>
dplyr::slice(1, 20, 50) # peek at 3 rows from the threshold sweep#> # A tibble: 3 × 3
#> .threshold specificity sensitivity
#> <dbl> <dbl> <dbl>
#> 1 -Inf 0 1
#> 2 0.00869 0.0477 1
#> 3 0.00960 0.0863 1
#> # A tibble: 1 × 3
#> .metric .estimator .estimate
#> <chr> <chr> <dbl>
#> 1 roc_auc binary 0.984
The Brier score is a measure of how well the predicted probabilities of an event match the actual outcomes.
It is the mean squared difference between predicted probabilities and actual outcomes.
The Brier score is a number between 0 and 1.
The Brier score is analogous to the mean squared error in regression models:
Brier = 1 😱
Brier = 0.5 😐
Brier < 0.25
Brier = 0 💯
\[ Brier_{class} = \frac{1}{N}\sum_{i=1}^N\sum_{k=1}^C (y_{ik} - \hat{p}_{ik})^2 \]
The ROC captures separation. - The ROC curve shows the trade-off between sensitivity and specificity at different thresholds.

The Brier score captures calibration. - The Brier score is a measure of how well the predicted probabilities of an event match the actual outcomes.

Calibration plot: We bin observations according to predicted probability. In the bin for 20%-30% predicted prob, we should see an event rate of ~25% if the model is well-calibrated.
\[
R^2 = 1 - \frac{SS_{res}}{SS_{tot}}
\] where:
- \(SS_{res}\) is the sum of squared residuals.
\(SS_{tot}\) is the total sum of squares.
Values range from \(-\infty\) to 1.
\[ RMSE = \sqrt{\frac{1}{n} \sum_{i=1}^{n} (y_i - \hat{y}_i)^2} \]
where: - \(y_i\) is the actual value. - \(\hat{y}_i\) is the predicted value.
\[ MAE = \frac{1}{n} \sum_{i=1}^{n} |y_i - \hat{y}_i| \]
| Metric | Interpretation | Sensitivity to Outliers |
|---|---|---|
| \(R^2\) | Variance explained | Moderate |
| RMSE | Penalizes large errors more | High |
| MAE | Average error size | Low |
We can use metric_set() to combine multiple calculations into one
forested_metrics <- metric_set(accuracy, specificity, sensitivity)
augment(forested_fit, new_data = forested_train) |>
forested_metrics(truth = forested, estimate = .pred_class)
#> # A tibble: 3 × 3
#> .metric .estimator .estimate
#> <chr> <chr> <dbl>
#> 1 accuracy binary 0.936
#> 2 specificity binary 0.916
#> 3 sensitivity binary 0.952Metrics and metric sets work with grouped data frames!
augment(forested_fit, new_data = forested_train) |>
group_by(tree_no_tree) |>
accuracy(truth = forested, estimate = .pred_class)
#> # A tibble: 2 × 4
#> tree_no_tree .metric .estimator .estimate
#> <fct> <chr> <chr> <dbl>
#> 1 Tree accuracy binary 0.942
#> 2 No tree accuracy binary 0.928
augment(forested_fit, new_data = forested_train) |>
group_by(tree_no_tree) |>
specificity(truth = forested, estimate = .pred_class)
#> # A tibble: 2 × 4
#> tree_no_tree .metric .estimator .estimate
#> <fct> <chr> <chr> <dbl>
#> 1 Tree specificity binary 0.428
#> 2 No tree specificity binary 0.976Note
The specificity for "Tree" is a good bit lower than it is for "No tree".
Among hexagons where the remote sensing index shows tree cover, the model more often predicts forested even when the ground truth is non-forested — these are the plots most likely to be confused.
We’re going to keep tuning on the same forested classification problem — no new data, no new recipe — so the story stays coherent.
From earlier in this deck we already have:
forested_split — 75/25 stratified splitforested_train, forested_test — 75% training, 25% testforested_folds — 10-fold CV on the training setforested_recipe — impute → dummy → normalizeSome model or preprocessing parameters cannot be estimated directly from the data.
Try different values and measure their performance.
With tidymodels, you can mark the parameters that you want to optimize with a value of tune().
The function itself just returns… itself:
Earlier today, the boosted tree was our best untuned model — let’s see how much further we can push it with tuning.
Boosted Trees are popular ensemble methods that build a sequence of tree models.
Each tree uses the results of the previous tree to better predict samples, especially those that have been poorly predicted.
Each tree in the ensemble is saved and new samples are predicted using a weighted average of the votes of each tree in the ensemble.
Some possible parameters:
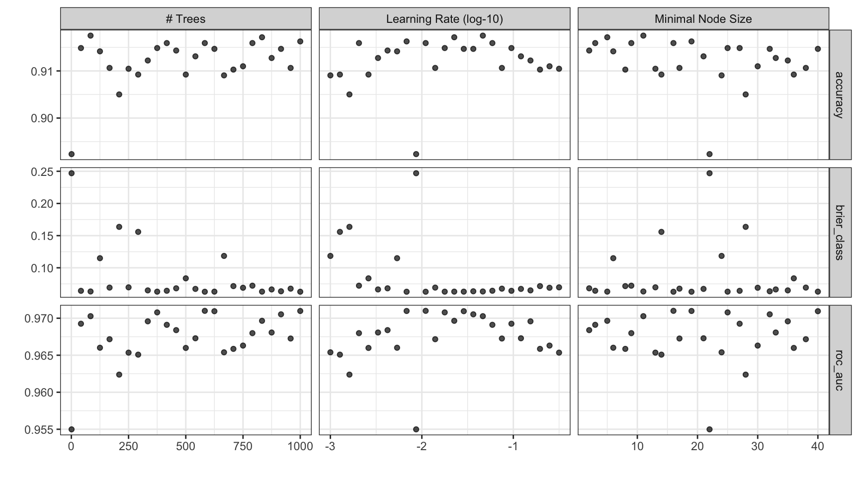
mtry: The number of predictors randomly sampled at each split (in \([1, ncol(x)]\) or \((0, 1]\)).trees: The number of trees (\([1, \infty]\), but usually up to thousands)min_n: The number of samples needed to further split (\([1, n]\)).learn_rate: The rate that each tree adapts from previous iterations (\((0, \infty]\), usual maximum is 0.1).stop_iter: The number of iterations of boosting where no improvement was shown before stopping (\([1, trees]\))b_mod <-
boost_tree(trees = tune(), learn_rate = tune()) |>
set_mode("classification") |>
set_engine("xgboost")
(b_wflow <- workflow(forested_recipe, b_mod))#> ══ Workflow ════════════════════════════════════════════════════════════════════════════════════════════════════════════════════════════════════════════════════════════════════════════════════════════
#> Preprocessor: Recipe
#> Model: boost_tree()
#>
#> ── Preprocessor ────────────────────────────────────────────────────────────────────────────────────────────────────────────────────────────────────────────────────────────────────────────────────────
#> 3 Recipe Steps
#>
#> • step_impute_mean()
#> • step_dummy()
#> • step_normalize()
#>
#> ── Model ───────────────────────────────────────────────────────────────────────────────────────────────────────────────────────────────────────────────────────────────────────────────────────────────
#> Boosted Tree Model Specification (classification)
#>
#> Main Arguments:
#> trees = tune()
#> learn_rate = tune()
#>
#> Computational engine: xgboost
The main two strategies for optimization are:
Grid search 💠 which tests a pre-defined set of candidate values
Iterative search 🌀 which suggests/estimates new values of candidate parameters to evaluate
Most basic (but very effective) way to tune models
A small grid of points trying to minimize the error via learning rate:
In reality we would probably sample the space more densely:
We could start with a few points and search the space:
The tidymodels framework provides pre-defined information on tuning parameters (such as their type, range, transformations, etc).
The extract_parameter_set_dials() function extracts these tuning parameters and the info.
Create your grid manually or automatically.
The grid_*() functions can make a grid.

Space-filling designs (SFD) attempt to cover the parameter space without redundant candidates. We recommend these the most.
A parameter set can be updated (e.g. to change the ranges).
grid_*() functions create a grid of parameter values to evaluate.grid_space_filling() function creates a space-filling design (SFD) of parameter values to evaluate.grid_regular() function creates a regular grid of parameter values to evaluate.grid_random() function creates a random grid of parameter values to evaluate.grid_latin_hypercube() function creates a Latin hypercube design of parameter values to evaluate.grid_max_entropy() function creates a maximum entropy design of parameter values to evaluate.#> # A tibble: 25 × 2
#> trees learn_rate
#> <int> <dbl>
#> 1 1 0.0287
#> 2 84 0.00536
#> 3 167 0.121
#> 4 250 0.00162
#> 5 334 0.0140
#> 6 417 0.0464
#> 7 500 0.196
#> 8 584 0.00422
#> 9 667 0.00127
#> 10 750 0.0178
#> # ℹ 15 more rows
#> # A tibble: 16 × 2
#> trees learn_rate
#> <int> <dbl>
#> 1 1 0.001
#> 2 667 0.001
#> 3 1333 0.001
#> 4 2000 0.001
#> 5 1 0.00681
#> 6 667 0.00681
#> 7 1333 0.00681
#> 8 2000 0.00681
#> 9 1 0.0464
#> 10 667 0.0464
#> 11 1333 0.0464
#> 12 2000 0.0464
#> 13 1 0.316
#> 14 667 0.316
#> 15 1333 0.316
#> 16 2000 0.316
b_param <-
b_wflow |>
extract_parameter_set_dials() |>
update(trees = trees(c(1L, 100L)),
learn_rate = learn_rate(c(-5, -1)))
set.seed(712)
(grid <-
b_param |>
grid_space_filling(size = 25))#> # A tibble: 25 × 2
#> trees learn_rate
#> <int> <dbl>
#> 1 1 0.00215
#> 2 5 0.000147
#> 3 9 0.0215
#> 4 13 0.0000215
#> 5 17 0.000681
#> 6 21 0.00464
#> 7 25 0.0464
#> 8 29 0.0001
#> 9 34 0.0000147
#> 10 38 0.001
#> # ℹ 15 more rows
Note that the learning rates are uniform on the log-10 scale — both tuning parameters are shown.
tune_*() functions to tune modelsLet’s take our previous model and tune more parameters:
b_mod <-
boost_tree(trees = tune(), learn_rate = tune(), min_n = tune()) |>
set_mode("classification") |>
set_engine("xgboost")
b_wflow <- workflow(forested_recipe, b_mod)
# Widen the trees range for the search
b_param <-
b_wflow |>
extract_parameter_set_dials() |>
update(trees = trees(c(1L, 1000L)))#> # Tuning results
#> # 10-fold cross-validation
#> # A tibble: 10 × 5
#> splits id .metrics .notes .predictions
#> <list> <chr> <list> <list> <list>
#> 1 <split [5116/569]> Fold01 <tibble [75 × 7]> <tibble [0 × 4]> <tibble [14,225 × 9]>
#> 2 <split [5116/569]> Fold02 <tibble [75 × 7]> <tibble [0 × 4]> <tibble [14,225 × 9]>
#> 3 <split [5116/569]> Fold03 <tibble [75 × 7]> <tibble [0 × 4]> <tibble [14,225 × 9]>
#> 4 <split [5116/569]> Fold04 <tibble [75 × 7]> <tibble [0 × 4]> <tibble [14,225 × 9]>
#> 5 <split [5116/569]> Fold05 <tibble [75 × 7]> <tibble [0 × 4]> <tibble [14,225 × 9]>
#> 6 <split [5117/568]> Fold06 <tibble [75 × 7]> <tibble [0 × 4]> <tibble [14,200 × 9]>
#> 7 <split [5117/568]> Fold07 <tibble [75 × 7]> <tibble [0 × 4]> <tibble [14,200 × 9]>
#> 8 <split [5117/568]> Fold08 <tibble [75 × 7]> <tibble [0 × 4]> <tibble [14,200 × 9]>
#> 9 <split [5117/568]> Fold09 <tibble [75 × 7]> <tibble [0 × 4]> <tibble [14,200 × 9]>
#> 10 <split [5117/568]> Fold10 <tibble [75 × 7]> <tibble [0 × 4]> <tibble [14,200 × 9]>
#> # A tibble: 75 × 9
#> trees min_n learn_rate .metric .estimator mean n std_err .config
#> <int> <int> <dbl> <chr> <chr> <dbl> <int> <dbl> <chr>
#> 1 1 22 0.00866 accuracy binary 0.892 10 0.00365 pre0_mod01_post0
#> 2 1 22 0.00866 brier_class binary 0.247 10 0.0000270 pre0_mod01_post0
#> 3 1 22 0.00866 roc_auc binary 0.955 10 0.00284 pre0_mod01_post0
#> 4 42 27 0.0953 accuracy binary 0.915 10 0.00365 pre0_mod02_post0
#> 5 42 27 0.0953 brier_class binary 0.0642 10 0.00220 pre0_mod02_post0
#> 6 42 27 0.0953 roc_auc binary 0.969 10 0.00229 pre0_mod02_post0
#> 7 84 11 0.0464 accuracy binary 0.918 10 0.00248 pre0_mod03_post0
#> 8 84 11 0.0464 brier_class binary 0.0632 10 0.00206 pre0_mod03_post0
#> 9 84 11 0.0464 roc_auc binary 0.970 10 0.00207 pre0_mod03_post0
#> 10 125 6 0.00536 accuracy binary 0.914 10 0.00382 pre0_mod04_post0
#> # ℹ 65 more rows
Key function: tune_bayes() — same syntax as tune_grid()
set.seed(9)
b_bayes <-
b_wflow |>
tune_bayes(
resamples = forested_folds,
initial = b_res, # warm-start: skip candidates already evaluated
iter = 10,
param_info = b_param,
metrics = metric_set(roc_auc)
)
show_best(b_bayes, metric = "roc_auc")#> # A tibble: 5 × 10
#> trees min_n learn_rate .metric .estimator mean n std_err .config .iter
#> <int> <int> <dbl> <chr> <chr> <dbl> <int> <dbl> <chr> <int>
#> 1 344 5 0.0217 roc_auc binary 0.972 10 0.00180 iter06 6
#> 2 229 2 0.0237 roc_auc binary 0.972 10 0.00181 iter05 5
#> 3 982 25 0.0155 roc_auc binary 0.972 10 0.00197 iter08 8
#> 4 404 15 0.0290 roc_auc binary 0.972 10 0.00192 iter04 4
#> 5 569 25 0.0247 roc_auc binary 0.972 10 0.00190 iter01 1
Tip
Passing initial = b_res means Bayesian search starts from what the grid search already learned — no wasted evaluations on territory already explored.
| Grid Search | Bayesian Optimization | |
|---|---|---|
| How it works | Pre-defined candidates evaluated in parallel | Learns from previous results, suggests next point |
| Best when | Compute is cheap; reproducibility matters | Fitting is expensive; budget is tight |
| Parallelism | Fully parallel | Sequential by design |
| Warm starting | No | Yes — can reuse grid results with initial = b_res |
| tidymodels fn | tune_grid() |
tune_bayes() |
In practice: start with a grid search to understand the landscape, then hand the results to Bayesian search for refinement.
#> # A tibble: 5 × 9
#> trees min_n learn_rate .metric .estimator mean n std_err .config
#> <int> <int> <dbl> <chr> <chr> <dbl> <int> <dbl> <chr>
#> 1 583 16 0.0110 roc_auc binary 0.971 10 0.00197 pre0_mod15_post0
#> 2 1000 19 0.00681 roc_auc binary 0.971 10 0.00204 pre0_mod25_post0
#> 3 625 40 0.0287 roc_auc binary 0.971 10 0.00199 pre0_mod16_post0
#> 4 375 25 0.0178 roc_auc binary 0.971 10 0.00213 pre0_mod10_post0
#> 5 916 32 0.0365 roc_auc binary 0.971 10 0.00203 pre0_mod23_post0
Create your own tibble for final parameters or use one of the tune::select_*() functions:
Suppose that we are happy with our model.
Let’s fit the model on the training set and verify our performance using the test set.
last_fit(workflow, split) does three things in one call:
collect_metrics() / collect_predictions()Call last_fit() once, at the very end. Using the test set to make any modeling decisions (threshold, features, model choice) invalidates it as an honest estimate.
# the boosted tree workflow can be `finalized` with the best parameters
final_workflow <- finalize_workflow(b_wflow, b_best)
# forested_split carries train + test — last_fit() fits on train, evaluates on test
(final_fit <- last_fit(final_workflow, forested_split))#> # Resampling results
#> # Manual resampling
#> # A tibble: 1 × 6
#> splits id .metrics .notes .predictions .workflow
#> <list> <chr> <list> <list> <list> <list>
#> 1 <split [5329/1778]> train/test split <tibble [3 × 4]> <tibble [0 × 4]> <tibble [1,778 × 6]> <workflow>
#> # A tibble: 3 × 4
#> .metric .estimator .estimate .config
#> <chr> <chr> <dbl> <chr>
#> 1 accuracy binary 0.908 pre0_mod0_post0
#> 2 roc_auc binary 0.968 pre0_mod0_post0
#> 3 brier_class binary 0.0666 pre0_mod0_post0
# Confusion matrix on the held-out test set
collect_predictions(final_fit) |>
conf_mat(truth = forested, estimate = .pred_class)#> Truth
#> Prediction Yes No
#> Yes 910 100
#> No 64 704
Variable importance connects performance back to science: which features drove the prediction?
Note
Recall from week 5: different families give different importance estimates — logistic regression uses standardized coefficients, random forest uses impurity reduction, boosted trees use gain.
Agreement across families = robust signal. Disagreement = worth investigating.